
文章图片

文章图片

文章图片

文章图片

作者:NGA-真实法师法露特
卡组:
战绩和胜率:
时间所限 , 目前只打了49把 , 胜率71% 。 由于过两天就是新版本了 , 所以再安利一下 , 免得到了新环境就直接不能用了 。
环境地位:
优开死灵、皇家、龙族三大主流卡组 , 略优增幅法、鬼 , 劣开鱼丸、主教和妖精(只有一把) 。
就个人而言 , 我碰到的小环境如图:
其中劣势对局大概占了18%左右 , 这样也不至于全部输掉 。 所以是非常适合当前国服环境的卡组 。
使用方法:
【acgn漫评|影之诗:土印巫师牌组安利】这里我就献丑 , 补充一点操作细节和思路 。
1.可以考虑5费硬拍减到3费的977巨像 , 这在对付皇家的时候可以耗掉不少资源 。
2.时刻注意对方的场面和我方手牌的伤害 , 比如先手5费可以卡对面后手4费的场面(如果对方铺满) , 然后6费斩杀 。
3.以6-7费为游戏终结点 , 提前规划伤害、格子跟土 。
4.大胆抽牌 , 1血以上都是甲!只要下回合能斩杀 , 那么这回合做完任务以后可以抽牌不解场 。 探究抽2就很好 , 不要想着抽4憋到下回合 。
5.7-8费如果手里斩杀不足 , 必须抽牌期待单回合完成斩杀 , 不要想着苟 , 因为苟不住 。 没有抽牌另说 。
6.对已经用过豆子的屁股龙、增幅法注意省豆 , 避免被恩宠奶2抽1脱离斩杀线 。 但如果憋豆会死还是得用 。
7.注意+积蓄数和召唤新的魔片的区别 。 卡牌效果是+积蓄的话 , 场上没魔片加不了 。
这卡组的6-7费的斩杀很高 , 在土够的情况下 , 6费可以斩16(巨像+拳头+狮子姐进化全打脸) , 有复数狮子姐注意送掉11腾格子斩杀 。
如何斩杀:
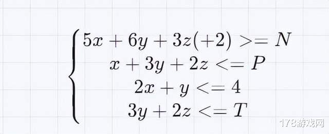
斩杀公式(狮子姐=5 , 巨像=6 , 拳头=3 , 豆=2) 。 设狮子姐数量为x , 巨像数量为y , 拳头数量为z , 对方血量为N , 自己的费用为P积蓄为T 。
那么我们斩杀就要解方程组:
一般先算斩杀 , 再算土和格子 , 最后算费用 。 这个公式成立的前提是对方的墙的血量<=3z , 任务当回合能完成 。 但会有以下几种情况 , 导致公式需要一定的调整 ,
1.皇家打了萧炎法术 , 这样公式1就改成:
2.没豆 , 但是需要过墙 , 且墙的血量大于3z , 设其血量为B , 过墙用的狮子姐数量为u , 则公式组要改为:
3.对方有主战者魔免(比如守护教8费圣女) , 则润……首先看有没有豆和655 , 其次看有没有977 。
1.有豆和655 , 可以过一堵墙斩7或者过两堵墙斩5 , 剩下一个格子可以+1斩杀(狮子姐) 。
2.有977可以过两堵墙(至少吃1土) , 设巨像费用为J , 则斩杀公式为:
第三个公式左边的+1是考虑到土被977吃完 。 右边的+1是考虑到977送掉了 。
结语:
总之 , 只要熟练掌握上述公式及其变化 , 你就可以愉快地在天梯横行 , 吃死龙皇的分 。 希望各位法师享受最后几天好时光 , 等DLC环境又变化了土法可能就不成立了……
如果走位不行 , 或者运气不好 , 尽管放下手机 , 该干嘛干嘛 , 明天又是新的一天 。
相关经验推荐
- acgn漫评|明知蓝染对自己产生威胁,友哈巴赫当初为何不带走他,或干掉他?
- acgn漫评|动漫里的小可爱,谁是你的心头爱
- acgn漫评|奥特曼:雷奥尼克斯实力排名,雷蒙竟然只排第四?
- acgn漫评|《斗破苍穹》净莲黄泉以及萧玄谁才是斗帝之下第一人?
- 疫情|漫评|致敬!“舍小家为大家”的平凡英雄
- acgn漫评|秦时明月第二部重制版迎来完结,第三部会是同样结果吗?他拖不起
- acgn漫评|斗罗大陆:不需要别人献祭就能突破百级成神的,都有哪些
- acgn漫评|盘点原神中的强力火系主C,迪卢克现在还能战否?
- acgn漫评|武神主宰原作居然还在连载,5000多章了!要和原作者比命长了
- acgn漫评|原神:新角色鹿野院平藏预告名侦探正太让人无法拒绝的快乐风男
